|
渦街流量計主要用于工業管道介質流體的流量測量,如氣體、液體、蒸汽等多種介質。主要是用于工業環境中,而廣東與全國相比,主要經濟指標大部分高于全國,繼續發揮對全國經濟增長的重要貢獻和支撐作用,工業更是領先于全國各大省份,因此生產渦街流量計的廠家就有很多,很多廣東的顧客在選購渦街流量計的時候,就會有個疑問,廣東這么多渦街流量計生產廠家,到底哪家的渦街流量計更好呢?
選擇一個好的渦街流量計廠家,才能獲得一個質量比較好的渦街流量計,因此也能在使用的時候避免很多因質量問題而帶來的不必要的麻煩,在想這個問題之前,首先要明白,渦街流量計的使用原理以及適用的介質及場合,對產品足夠了解,這樣才能在選購渦街流量計的時候不會被一些不良廠家忽悠。
渦街流量計的原理:渦街流量計是根據卡門渦街原理(Kármán Vortex Street)測量氣體、蒸汽或液體的體積流量、標況的體積流量或質量流量的體積流量計。并可作為流量變送器應用于自動化控制系統中。
渦街流量計是應用流體振蕩原理來測量流量的,流體在管道中經過渦街流量變送器時,在三角柱的旋渦發生體后上下交替產生正比于流速的兩列旋渦,旋渦的釋放頻率與流過旋渦發生體的流體平均速度及旋渦發生體特征寬度有關,可用下式表示:

式中:

為旋渦的釋放頻率,單位為Hz;v為流過旋渦發生體的流體平均速度,單位為m/s;d為旋渦發生體特征寬度,單位為m;St為斯特勞哈爾數(Strouhal number),無量綱,它的數值范圍為0.14-0.27。
St是雷諾數的函數,

。
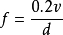
當雷諾數Re在

范圍內,St值約為0.2。在測量中,要盡量滿足流體的雷諾數在

,此時旋渦頻率

。
由此,通過測量旋渦頻率就可以計算出流過旋渦發生體的流體平均速度v,再由式

可以求出流量q,其中A為流體流過旋渦發生體的截面積。
可測量的介質:原理清楚以后并不代表說就可以選擇一個合適的渦街流量計了,更重要的是要根據現場的工況條件以及測量的介質進行選擇,測量介質流速、儀表量程與口徑 測量一般的介質時,渦街流量計的滿度 流量可以在測量介質流速0.5—12m/s范圍內 選用,范圍比較寬。選擇儀表規格(口徑)不一 定與工藝管道相同,應視測量流量范圍是否 在流速范圍內確定,即當管道流速偏低,不能滿足流量儀表要求時或者在此流速下測量準 確度不能保證時,需要縮小儀表口徑,從而提 高管內流速,得到滿意測量結果。
廣東渦街流量計廠家有很多,在選擇的時候,不只是單單考慮產品的質量,也要根據廠家的發展歷程以及售后服務等來綜合考慮,相信沒有人會選擇一個只為了賣產品而賣產品的廠家,在這里,給大家一個推薦,杭州米科傳感技術有限公司,該公司依托于國內外先進的技術與創新能力,在各領域不斷突破創新。公司發展至今已形成了完備的過程自動化儀器儀表生產線,為各領域客戶提供了包括流量計、壓力變送器、溫度傳感器、水質檢測儀、無紙記錄儀在內的過程自動化儀表。
米科傳感憑借優質的產品與技術服務,積累了超過十萬用戶。在多項領域為客戶實現了降低成本、減少能耗的訴求,提高了客戶企業的核心競爭力。而且米科傳感給客戶發貨都是使用順豐快遞,最快可以當天就把渦街流量計送到客戶手中。為了提高產品質量,米科傳感引進高精度檢測裝置,并為公司產品設定了嚴格的出廠檢測規范,選擇米科,您就等于選擇了放心!
|